|
孟凡生1,2,阴秀丽1,蔡建渝1,马隆龙1,吴创之1
(1.中国科学院广州能源研究所,中国科学院可再生能源与天然气水合物重点实验室,广州510640;2.中国科学院研究生院,北京100049)
摘要:生物质气化气的组分对内燃机的排气温度、最大爆发压力、有效热效率和尾气排放都具有重要影响。各种气体成分的燃烧速率以及其中的阻燃成分都直接影响气缸内混合气的燃烧,同时影响内燃机的尾气排放。分析发现内燃机的排气温度过高、爆发压力偏低、能耗偏高的主要原因是由于生物质气化气热值低、燃烧速度慢;通过对尾气排放的测试分析发现,混合气的完全燃烧可以降低碳烟、CO和HC的排放,降低燃烧温度可以降低NOx的生成率。
0引言
生物质是一种可再生能源,由于其生长和利用过程构成自然界碳循环,其高效利用可有效减少温室气体的排放。传统的生物质能利用是采用直接燃烧方式,不仅效率低下,而且会排放出大量烟尘和余灰,污染环境;生物质气化技术是通过热化学反应,将固态生物质在不完全燃烧条件下,使较高分子量的有机碳氢化合物链裂解,变为较低分子量的H2、CH4、CO等可燃气体[1]。气化获得的气体燃料作为一种清洁能源,适用范围广,同时提高了生物质利用的能源品位和利用效率,应用前景广阔。气化发电过程包括3个方面:生物质气化;气体净化;燃气发电[2,3]。燃气内燃机与蒸汽轮机、燃气轮机相比具有机组容量范围大,燃气热值应用范围广的优势,进而使得利用燃气内燃机发电在中国的分布式发电领域得到广泛应用。目前国内所应用的生物质燃气内燃机大部分是由中低转速柴油机改装的,功率大都低于400kW。
任永志等[4]对意大利Tessari的80kW燃气发电机与生物质气化气的匹配性作了分析。中国科学院广州能源研究所在国家高技术发展计划(863计划)支持下,开展了5MW生物质气化-蒸汽联合循环发电示范工程研究,系统中采用了600kW燃气内燃机8300(600r/min)进行发电。本文分析了该系统中内燃机的排温、动力和排放性能。
1生物质气化气特性分析
生物质气化采用循环流化床空气气化,原料为稻壳。主要流程如图1所示,气化炉出来的气体流经旋风分离器、焦油裂解炉、高温过热器、文丘里除尘器、喷淋塔、罗茨风机到达储气罐,储气罐内的气体流经进气管道进入内燃机燃烧做功,内燃机曲轴飞轮端带动发电机进行发电,高温过热器出来的气体与内燃机排放的尾气进入加热锅炉,锅炉出来的高温水蒸气带动蒸汽轮机发电[5]。

对于燃烧生物质气化气的燃气内燃机首先要求使用的气体燃料能在点燃条件下进行正常的点火燃烧,并且要求燃料燃烧完全,能够稳定燃烧,以保证发动机充分发挥其动力性能和经济性能;燃料应具有较高的热值,以保证发动机有较高的效率;还要保证燃料洁净性的要求,以减少气缸腐蚀和零部件的磨损。
气化当量比(单位质量生物质在气化过程中所消耗的空气量与生物质完全燃烧所需要的理论空气量之比)在0.22-0.35之间变化时,在罗茨风机出口取样19次,检测出H2、CH4、CO2、CO、O2、N2、C2H2、C2H4、C2H6气体组分的含量,其体积百分含量如表1所示,对于生物质气化气组分分析如下:

1.1气体组分分析
测得的9种气体中H2、CH4、CO为主要可燃组分,CO2、N2为阻燃成分。
CH4是天然气的主要成分,辛烷值高达130[6],因而具有良好的抗爆性,然而火焰传播速度小,燃烧速度慢;CO为最为主要的可燃气体成分,但燃点较高;H2相对于其他可燃气体而言,具有火焰传播速度快、易扩散以及传热能力强的特点,并且火焰传播速度随氧浓度的增加而提高[7]。生物质气化气中H2的变化范围较大,在6%~10%间波动。H2与空气混合的最大燃烧速度为2.80m/s[8],当氢气含量较高,过量空气系数较小时,缸内混合气的燃烧温度高,压力升高率大,将会导致部分未燃混合气的着火诱导期缩短,极易引***燃;点燃氢气所需要的点火能量仅为0.02MJ,不足汽油的1/10,这就意味着气缸内的局部温度高的点可以成为着火点,引起早燃[9]。
气化气中有近一半的N2,CO2含量也在15%左右,而且对于三原子分子的CO2具有的摩尔比热远大于空气,因而在内燃机压缩和燃烧冲程中会大量地吸收热量,使发动机压缩终点的温度降低,导致点火推迟,燃烧温度降低;阻燃成分的存在会减缓焰前反应,阻碍燃烧的正常进行,对火焰的燃烧速度起到负面的影响,致使内燃机后燃严重,排气温度较高。
1.2热值分析
通过计算,生物质气化气热值在5.30-6.43MJ/Nm3之间,相对于天然气热值为35.91MJ/Nm3[8](按照纯CH4计算)而言,属于低热值气体。
由于在内燃机气缸中燃烧的是燃气和空气组成的混合气,因而在实际循环中应考虑混合气的热值。
天然气完全燃烧时的化学反应式为:

生物质气化气与空气按化学计量比混合的热值在2.49~2.67MJ/Nm3之间。因而无论气化气的热值还是理论混合气热值与天然气相比,都存在较大差距,使得同一规格的内燃机,在燃烧生物质气化气时出力明显不足[10]。
1.3气体中杂质的影响
虽然生物质燃气经过了严格的净化,但仍含有大量的焦油和灰分,测得罗茨风机出口的焦油含量接近100mg/m3[11]。工作中内燃机的高温工作环境使得生物质气化气成分中的焦油,以及一些细灰颗粒在燃烧过程中引起气门处积炭,导致气门关闭不严,使得气门漏气,气缸内高温高压气体冲刷气门弹簧,促使弹簧受热退火、弹性减弱,进而影响整个配气机构的工作;在内燃机工作过程中,焦油沉积在电极两端,则可能引起点火系统失效。生物质气化气成分中的大量焦油成分在燃烧过程中会在燃烧室内形成积炭,使得混合气在火花塞点火前就可能被燃烧室内炽热的炭粒表面点燃,形成表面点火;同时燃烧室内沉积的积炭过多会增大压缩比,进而增大爆燃的可能性。而灰分含量太高也会增加运动件之间的磨损,严重时会引起拉缸。
2内燃机运行特性分析
测定内燃机不同负荷下的排气温度、最大爆发压力以及燃料消耗率;采用烟度计与气体分析仪测定尾气排放中的烟度、NOx、CO、HC。
2.1内燃机的排气温度、最大爆发压力以及有效热效率特性
生物质气化气热值低,燃烧速度慢,使得单位循环做功指标相对较低,因而选用大缸径、长行程、大排量、转速较低的8300作为原型机进行改造[12]。由于生物质气化气中含有大量的焦油,在发动机的进气过程中焦油会黏附在进气系统的表面上,因此生物质气化气发动机不适合对进气进行增压,而应选用自然吸气方式[13]。将原柴油机去除高压供油系统,进气管处安装文丘里管混合器;将燃烧室设计成浅盆形,重新设计活塞,把压缩比降为9,在原来喷油嘴的位置安装火花塞;重新设计凸轮轴,优化配气以及点火正时;同时在总管的两端安装安全防爆门等,这些改进使得8300适合燃烧低热值的生物质气化气。
在8300燃气内燃机600r/min的工况下,对于内燃机的排气温度以及动力特性进行了测试,结果见图2、3。
由图可看出,随着发电机组负荷的增加,各缸的排106农业工程学报2008年气温度在600℃左右,相对柴油机而言,排气温度明显偏高,原因在于燃烧冲程中混合气体燃烧不完全,致使后燃严重。气化气中大量阻燃成分的存在是造成后燃的重要原因,此外由于采用缸外混合气形成方式,为减少扫气过程中的混合气损失,采用30℃A的气门重叠角,然而气门重叠角的减小将导致扫气效果差,缸内的残余废气增多,对于缸内循环的燃烧起抑制作用,进一步加重了后燃现象。加之生物质气化气在缸内没有汽化时的吸热作用,综合几方面的因素,使得燃用生物质气化气的内燃机排气温度偏高。排气温度越高,尾气所带走的能量的比重就越大,因而,降低排气温度也可以成为提高内燃机热效率的有效措施。在负荷为500kW左右时,排气温度处于低谷,此时通过尾气带走的能量相对较少,若不考虑燃烧过程中散热率的变化,可认为此时段所产生的有效功率相对要高些。

随着负荷的增加,无论是排气温度还是最大爆发压力都逐渐趋于均匀,各缸的最大爆发压力逐渐增大。在低负荷时1缸的排气温度、最大爆发压力都要高于其他各缸;但在大负荷时8缸的最大爆发压力明显低于其他各缸。进气总管的压力较低、气量不足,是造成各缸排气温度、最大爆发压力不均的重要原因。低负荷时伴随着较小的进气量,使得进气管对于各支管的气量分配不均,距离进气管口最近的1缸进气量相对较多,使得燃烧较为充分;当内燃机处于大负荷时,进气管的进气量不足,加之非增压内燃机的进气压力低,使得距离进气管较远的8缸,不能够得到充足的燃气,燃烧温度相对较低,最高爆发压力较低。
通过测定一个时间段中储气罐内气体的消耗量来计算内燃机的气体消耗率,内燃机所发出的有效功率与消耗的燃气热值的比值即为内燃机的有效热效率。得出内燃机在中等负荷时的有效热效率最高,为30.4%;全负荷运行时的有效率为29.5%,相对原柴油机明显偏低。排气温度高,最大爆发压力较低是导致内燃机有效热效率较低的直接原因。
2.2内燃机的排放特性
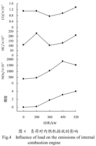
对于内燃机烟度的测试采用SF8141A不透光烟度计,对于NOx、CO、HC的排放采用HPC500汽车排气分析仪,测试结果见图4。

2.2.1烟度
由图4看出负荷增加使得烟度和每循环进气量增加,过多的混合气体进入气缸,在缸内有限的容积内容易出现局部缺氧,混合气燃烧不完全,从而使得烟度升高。
衡量内燃机烟度的主要成分是碳烟,因而碳烟的生成率决定了尾气排放中烟度的高低。导致尾气中烟度较高的原因有:
1)过量空气系数的影响
8300燃气内燃机的过量空气系数为1.0,采取文丘里管缸外机械预混合方式,理论上能够使得缸内气化气与空气混合均匀,然而气化气的成分不稳定,热值不断变化,在实际运行状况中容易出现局部混合气过浓或过稀的现象,在缺氧区域利于碳烟的生成。
2)燃烧室形状的影响
8300燃气内燃机采用浅盆形燃烧室,由于其不组织涡流,使得燃烧过程中生成的碳烟尚未经过后续燃烧即被排出缸外,增加了碳烟的排量。
2.2.2NOx
无论是燃料的氮还是空气中的氮都是以无机物的形式存在,分子键能高,需要高温工作环境才能使得氮分子分解成氮原子。
高温、富氧、氧与氮在高温中的滞留时间是影响柴油机燃烧过程中NOx生成率大小的三要素[14]。
由图4看出,中低负荷时,随负荷的增加,循环进气量逐渐增多,使得生成NOx的三要素同时加强,必然导致NOx的生成率增加。在高负荷时尽管温度和高温滞留时间延长,但NOx生成率下降,原因在于氧浓度的下降制约了氮氧化物的生成速率。
2.2.3CO
对于燃烧生物质气化气的内燃机,CO一部分来自混合气中尚未燃烧的CO;另一部分来自于燃料的不完全燃烧。
图4表明CO的含量较高,原因在于气化气中CO的含量达到15%~18%,因而在缸内燃烧过程中包括缝隙容积在内的部分未燃的CO增加了尾气中CO的含量。
在低负荷时由于混合气燃烧不完全,致使其中的部分混合气中的CO在未参加燃烧的情况下直接排出气缸;随着负荷的增大,缸内气体燃烧趋于完全,CO的生成率降低,中负荷时达到最低值;随着负荷的增大,CO的生成率呈现增大趋势,原因在于大负荷时缸内混合气的进气量较多,局部缺氧燃烧,导致部分混合气尚未能完全燃烧就排出气缸,从而增加了尾气中的CO含量。
2.2.4HC
碳氢化合物包括混合气中的未燃或不能完全燃烧的烃类、气化气中焦油高温裂解的产物等。主要是由于缸内混合气的不完全燃烧造成的。由图4看出在低负荷时由于缸内气体的不完全燃烧导致碳氢化合物的生成率增加,中负荷时缸内气体的燃烧较为完全致使碳氢化合物的含量下降,而在高负荷时过多的混合气进入气缸,使得缸内混合气局部缺氧,尚未完全燃烧即排出缸外,使得碳氢化合物的含量升高。
由上面的试验分析可以得出以下结论:
1)增大过量空气系数能有效抑制缸内缺氧的发生,切断碳烟生成的环境;采用球形、深盆形燃烧室能有效增加缸内的气体流动,使缸内燃烧成为紊流燃烧,火焰处于运动状态,从而尽量避免形成局部高温和局部缺氧,进而抑制碳烟的生成。
2)降低NOx浓度的措施,就是要切断NOx的滋生环境。增大空燃比,降低压缩比都能降低NOx的生成率。
3)由于气化气中的CO是尾气中CO的主要来源,使得缸内的混合气能够充分的燃烧是降低该部分CO的有效措施。
4)使缸内的混合气燃烧充分,气化气与空气均匀混合,精确控制空燃比,增加缸内的气流运动都是能够降低炭氢化合物的有效措施。
3结论
通过对燃烧生物质气化气的内燃机的特性分析发现,气化气组分本身的性质是决定内燃机运行特性的主要因素,同时内燃机本身的结构也具有重要影响。8300型内燃机燃用生物质燃气时的效率最高为30%左右,气缸内爆发压力低、排气温度高是导致燃气内燃机效率低下的主要原因;同时燃气内燃机采用非增压进气、燃烧过程中空燃比不稳定、混合气燃烧不完全也是导致热效率降低的重要原因。生物质气化气的固有成分使得气缸内混合气燃烧不完全,以及氢气对缸内燃烧的不利因素使得内燃机尾气中的污染物排放较高。
中国的燃气发动机通过采用增压、中冷等技术,热效率能达到35%。国外先进机型通过采用电控混合、稀薄燃烧等闭环控制技术,热效率已达42%,甚至更高[15]。目前我国对于低热值燃气内燃机的研究尚处于起步阶段[16],通过以后的不断探索试验,期望能够在原有基础上不断提高改进,使得燃气内燃机在生物质气化发电中得到更为有效的应用。
[参 考 文 献]
[1]袁振宏,吴创之,马隆龙,等.生物质能利用原理与技术[M].北京:化学工业出版社,2005:169-171.
[2]盛建菊. 生物质气化发电技术的进展[J]. 节能技术, 2007,25(1):67-70.
[3]阴秀丽,周肇秋,马隆龙,等.生物质气化发电技术现状分析[J].现代电力,2007,24(5):48-52.
[4]任永志,崔亨哲,郭 军,等.生物质气化发电机组中内燃机的运行特性分析[J]. 可再生能源, 2006, (2): 19-22.
[5]Wu Chuangzhi, Yin Xiuli, Chen Ping, et al. A 5.5MW e biomass demonstration power plant via asification integrated combined cycle[C]. The 3 rd International Green Energy Conference,2007:188-196.
[6]周龙保.内燃机学[M].北京:机械工业出版社,2006:20-25.
[7]刘治中, 许世海, 姚如杰. 液体燃料的性质及应用[M].北京:中国石化出版社,2000:178-204.
[8]项友谦.燃气热力工程常用数据手册[M].北京:中国建筑工业出版社,2000:289-309.
[9]王存磊,朱 磊,袁银南,等.氢气在内燃机上的应用及特点[J].拖拉机与农用运输车,2007,34(3):1-6.
[10]吴创之.生物质燃气发电技术[J].可再生能源,2003,111(5):58-60.
[11]陈 平.生物质流化床气化机理与工业应用研究[D].合肥:中国科学技术大学,2006.
[12]高绪伟,李宗立,辛强之.8300 生物质气体发动机的开发及初步试验[J].山东内燃机,2002,72(2):72-75.
[13]王令金.大型火花点火生物质气发电机组的研究开发[D].济南:山东大学,2006.
[14]何学良,李疏松.内燃机燃烧学[M].北京:机械工业出版社,1990:440-466.
[15]陈宜亮.燃气发动机的发展动向[J].山东内燃机,2004,82(4):4-7.
[16]孟凡生,阴秀丽,蔡建渝,等.我国低热值燃气内燃机的研究现状[J].内燃机,2007,128(3):46-49. |